• Предмет: Алгебра
  • Автор: fidgigang
  • Вопрос задан 2 года назад

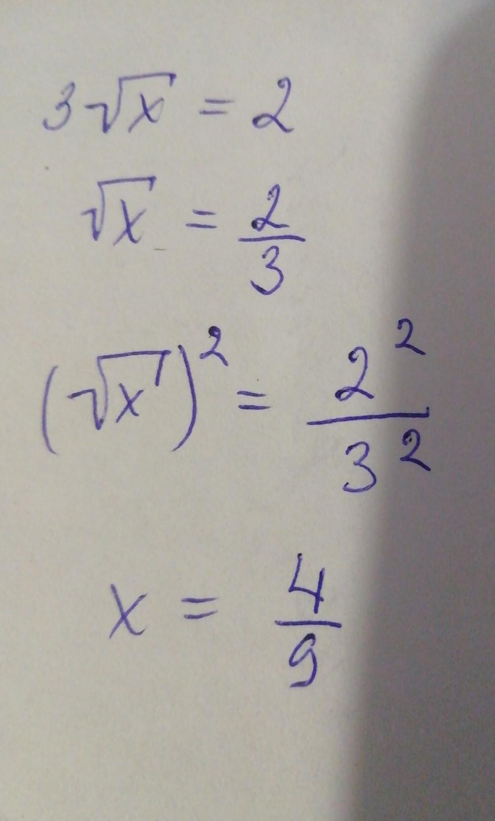
Решите уравнение, чему равен х?

Приложения:

Ответы

Ответ дал: nexty24
0

Ответ:

✓x=2/3 минусы сокращаются

x=4/9

Ответ дал: ГрибнойКороль
0

Как-то вот так получается,

х = 4/9

Приложения:
Вас заинтересует