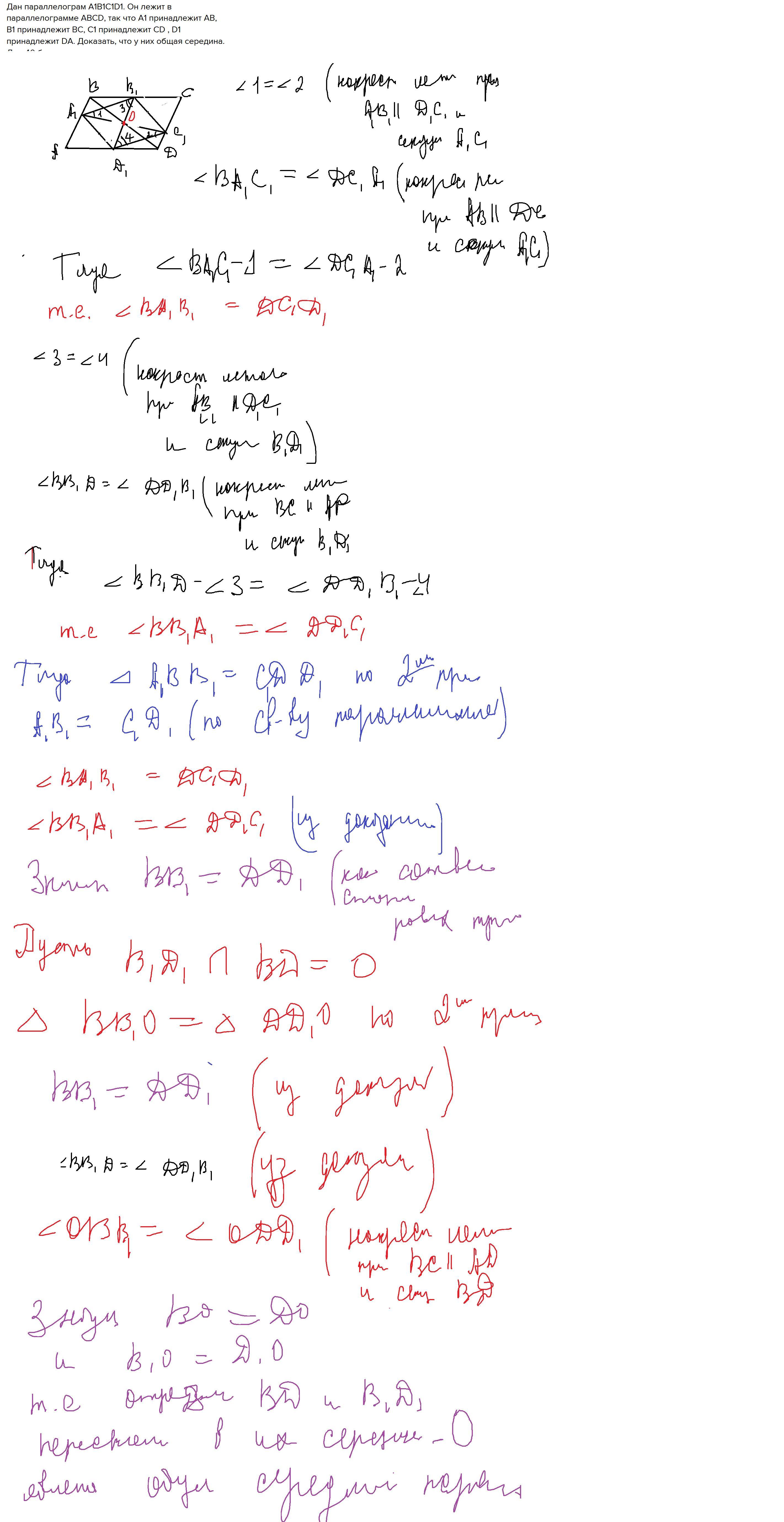
Дан параллелограм A1B1C1D1. Он лежит в параллелограмме ABCD, так что A1 принадлежит AB, B1 принадлежит BC, С1 принадлежит CD , D1 принадлежит DA. Доказать, что у них общая середина. Дам 40 баллов
Ответы
Ответ дал:
1
Ответ:
Объяснение:Дан параллелограм A1B1C1D1. Он
Приложения:

ClarisVerbis:
https://znanija.com/task/33481448
Вас заинтересует
1 год назад
1 год назад
1 год назад
3 года назад
3 года назад
8 лет назад