• Предмет: Алгебра
  • Автор: Karinarutz
  • Вопрос задан 2 года назад

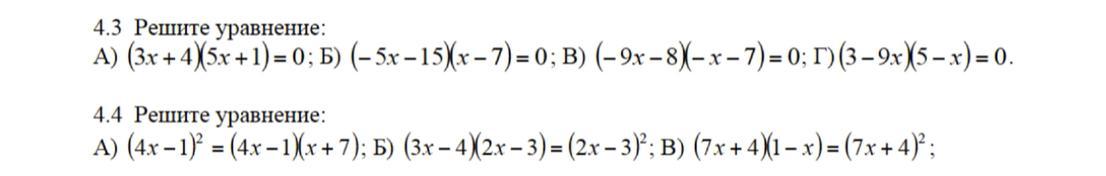
Решите пожалуйста 4.4

Приложения:

Ответы

Ответ дал: elizavetagugl1
0

Ответ:

  1. А)x=1/4 x=8/3
  2. Б)x=3/2 x=5/3
  3. В) x=-4/7 x=0

Вас заинтересует