Помогите решить
а-арифметическая прогрессия
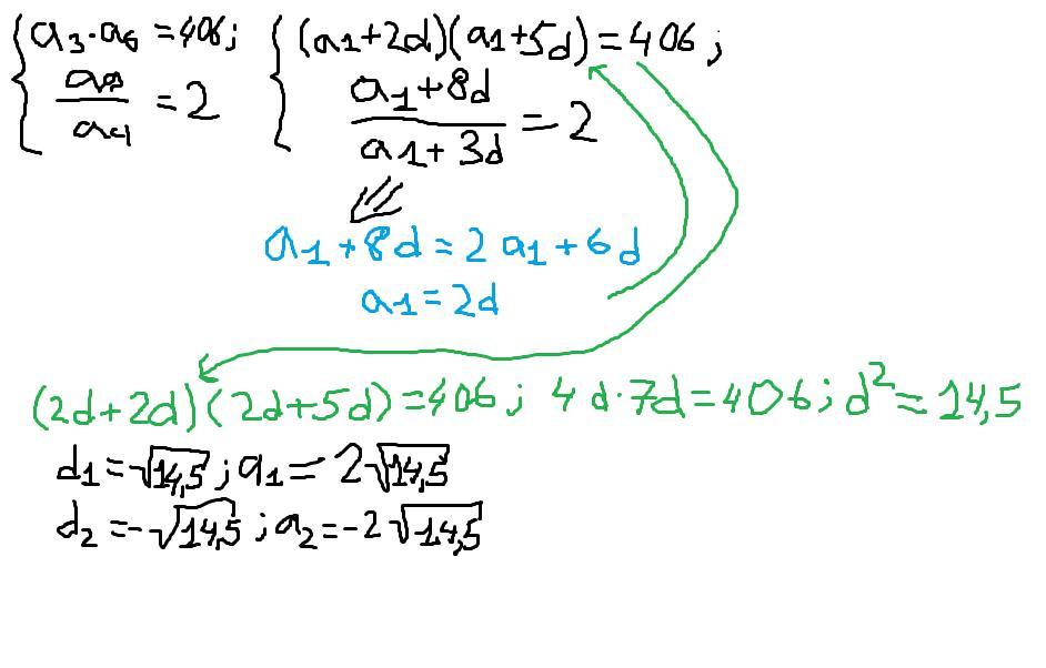
а3*а6=406
а9/а4=2
Universalka:
Числа верно записаны ?
Ответы
Ответ дал:
0
Ответ:
Объяснение:
решение в приложении
Приложения:

Ответ дал:
0
Вас заинтересует
1 год назад
1 год назад
1 год назад
8 лет назад