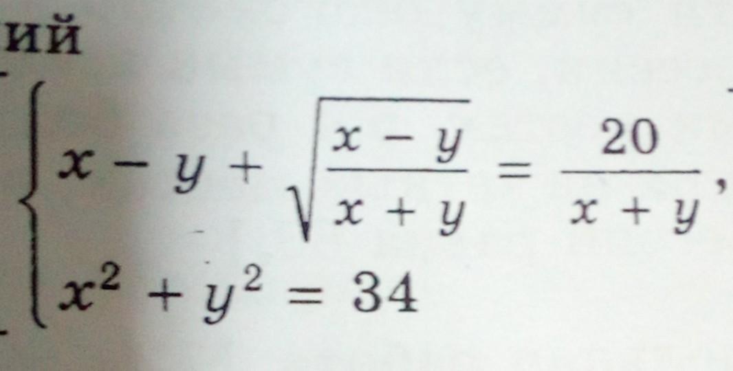
Помогите пожалуйста с решением системы уравнений
Просьба не удалять ответы других пользователей, мне очень срочно и важно
Заранее спасибо ☺️
Приложения:

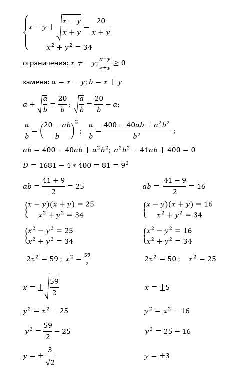
Ответы
Ответ дал:
0
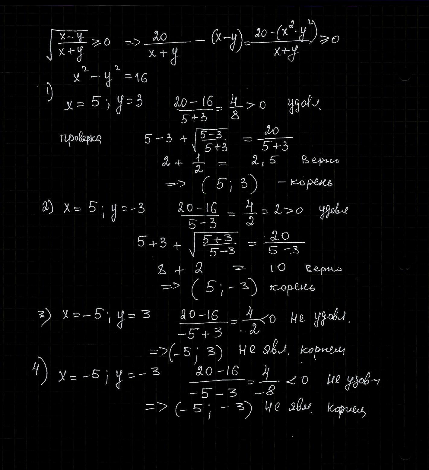
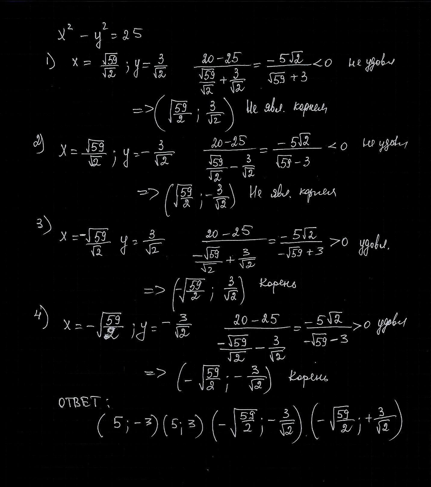
Ответ:
Объяснение:
-------------------------------------------
Приложения:



Вас заинтересует
1 год назад
3 года назад
3 года назад
8 лет назад