• Предмет: Алгебра
  • Автор: Ilyakornev05
  • Вопрос задан 2 года назад

Помогите пж. Даю 30 баллов.

Приложения:

Giggles764: И где 30 баллов?
Universalka: Для двоих по 15, всего 30.

Ответы

Ответ дал: Universalka
0

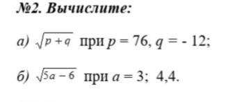
1)\sqrt{p+q}=\sqrt{76-12}=\sqrt{64}=\sqrt{8^{2}}=8\\\\2)\sqrt{5a-6}=\sqrt{5*3-6}=\sqrt{15-6}=\sqrt{9}=\sqrt{3^{2}}=3\\\\\sqrt{5a-6}=\sqrt{5*4,4-6}=\sqrt{22-6}=\sqrt{16}=\sqrt{4^{2}}=4

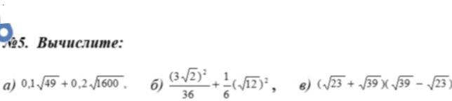
3)0,1\sqrt{49}+0,2\sqrt{1600}=0,1\sqrt{7^{2}} +0,2\sqrt{40^{2}}=0,1*7+0,2*40=0,7+8=8,7\\\\\frac{(3\sqrt{2})^{2}}{36}+\frac{1}{6}(\sqrt{12})^{2}=\frac{9*2}{36}+\frac{1}{6}*12=\frac{1}{2}+2=2,5\\\\(\sqrt{23}+\sqrt{39})(\sqrt{39}-\sqrt{23})=(\sqrt{39})^{2}-(\sqrt{23})^{2}=39-23=16

Вас заинтересует