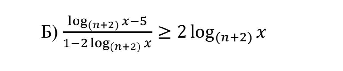
Помогите решить неравенство. n=2 Ставлю все баллы, пожалуйста!!!!!!!!! Буду очень благодарна !!
Приложения:
Ответы
Ответ дал:
0
Надеюсь будет понятно
Приложения:
Вас заинтересует
2 года назад
2 года назад
2 года назад
2 года назад
3 года назад
3 года назад
9 лет назад
9 лет назад