• Предмет: Алгебра
  • Автор: Ilyakornev05
  • Вопрос задан 2 года назад

Помогите срочно. Даю 21 балл

Приложения:

Ответы

Ответ дал: Аноним
0

Ответ:

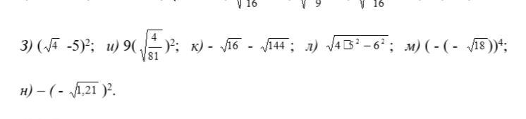
з) (2 - 5)² = (-3)² = 9

и) 9 * 4/81 = 4/9

к) -4 - 12 = -16

л) √45² - √6² = 45 - 6 = 39

м) (√18)⁴ = 18² = 324

н) (√1,21)² = 1,21

Объяснение:

Ответ дал: mari1261
0

Ответ:

э) (2 5)^2 =(-3)^2=9

и) 9* 4/81= 4/9

к) -4 - 12 =-16

л)

 \sqrt{45 {}^{2} }  - 6 {}^{2}  \\ 45 - 6 {}^{2}  \\ 45 - 36 \\ 9

м) (V18)^4 =18^2=324

н) (V1,21)^2 = 1,21

Вас заинтересует