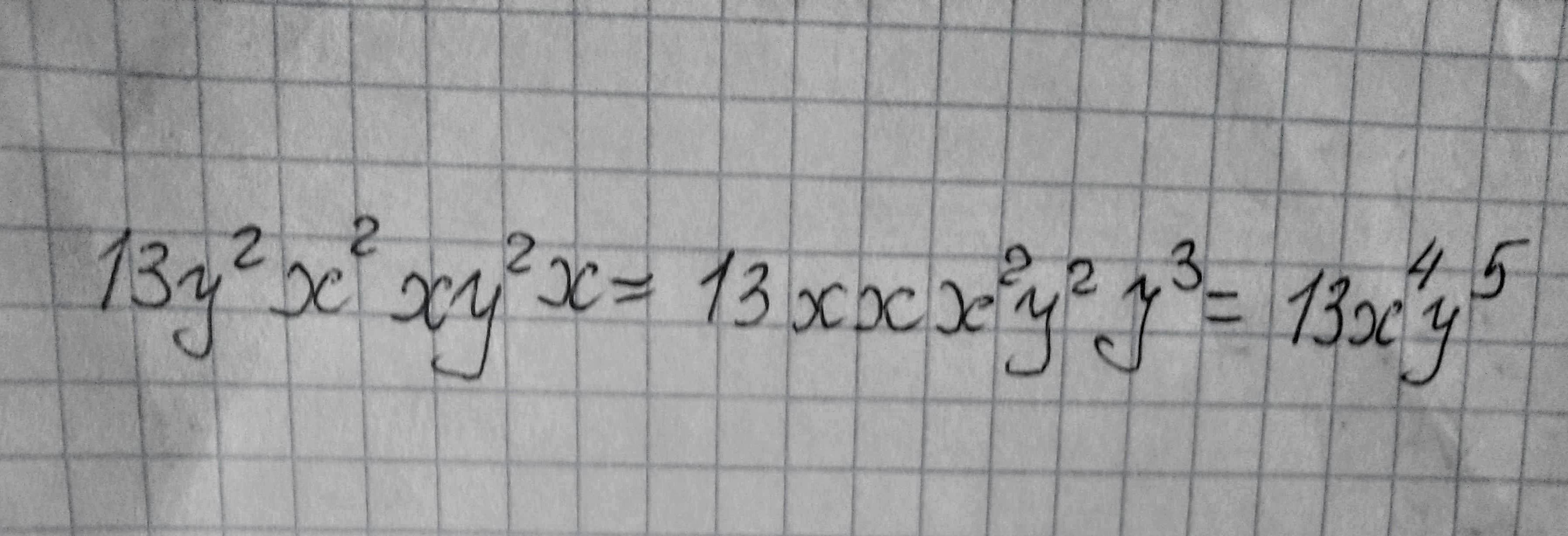
(ДАЮ 100 БАЛОВ)Давай запишем одночлен в стандартном виде(Учи.ру) 13y(3)x(2)xy(2)x=13xxx(2)y(2)y(3) =
OSKAR12123:
13xxx(2)y(2)y(3)=
Ответы
Ответ дал:
2
Ответ:
Объяснение:
!!!!!!!!!!!!!!!!!!!!!
Приложения:

Ответ дал:
0
Ответ: на фотографии. Посколько умножение, степени складываем.
Приложения:

Вас заинтересует
1 год назад
1 год назад
1 год назад
1 год назад
3 года назад
3 года назад
8 лет назад