Ответы
Ответ дал:
1
Ответ:
самый нижний:
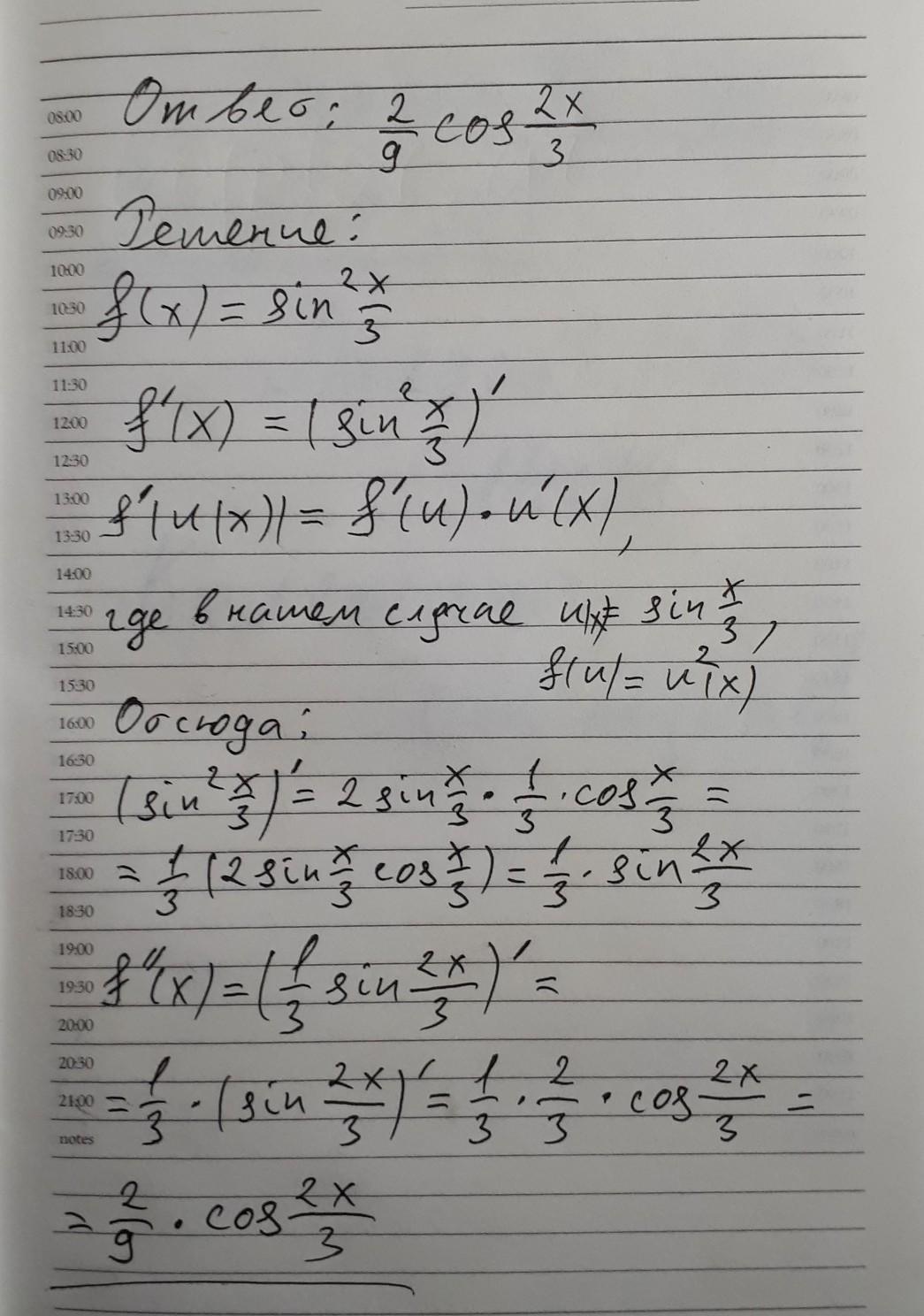
f''(x) = 2/9 cos(2x/3)
Пошаговое объяснение:
См. прикрепленный файл
Приложения:

Вас заинтересует
1 год назад
1 год назад
1 год назад
1 год назад
3 года назад
3 года назад
8 лет назад