• Предмет: Математика
  • Автор: gurmi
  • Вопрос задан 2 года назад

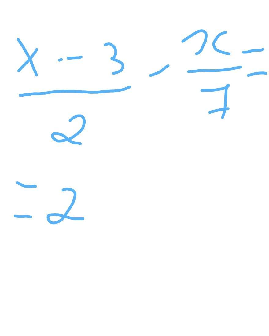
помоги срочна надо завтра контроша​

Приложения:

Ответы

Ответ дал: LeraGasai
1

Ответ:

ответ на картинке

)))))))))

Приложения:

gurmi: спасибо
Вас заинтересует