• Предмет: Алгебра
  • Автор: sosiki1714
  • Вопрос задан 2 года назад

Помогите пожалуйста! 25 баллов
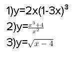
Найдите точки экстремума функции

Приложения:

Ответы

Ответ дал: xxxeol
1

Объяснение:

ДАНО: y = 2*x*(1- 3*x)³

Находим производную функции.

y'(x) = -18*x*(1-3*x)² + 2*(1-3*x)³ = (2-24*x)*(3*x-1)² = 0

x1 = 2/24 = 1/12,   Ymin(1/12) = 0 - минимум - ответ

x2 = 1/3,   Ymax(1/3) = 9/128 - максимум - ответ.

ДАНО: y = (x³+4)/x² - функция.

y'(x) = 3 - 2*(x³+4)/x³ = (x³ - 8)/x³ = 0

x³ = 8,  x = ∛8 = 2

Ymin(2) = (8+4)/4 = 3 - минимум - ответ.

ДАНО: y = √(x-4)

y'(x) = 1/(2*√(x-4) = 0

Корней нет.

Экстремумов нет - ответ.

Вас заинтересует