• Предмет: Математика
  • Автор: Аноним
  • Вопрос задан 2 года назад

100 баллов + лучший ответ!

Приложения:

Ответы

Ответ дал: NNNLLL54
1

A_1(-1,-2,1)\; ,\; A_2(-2,-2,5)\; ,\; A_3(-3,-1,1)\; ,\; A_4(-1,0,3)\\\\1)\; \; \overline {A_1A_2}=(-1,0,4)\; \; ,\; \; \overline {A_1A_3}=(-2,1,0)\\\\|\overline {A_1A_2}|=\sqrt{1+0+16}=\sqrt{17}\; \; ,\; \; |\overline {A_1A_3}|=\sqrt{4=1+0}=\sqrt5\\\\\overline {A_1A_2}\cdot \overline {A_1A_3}=-1\cdot (-2)+0\cdot 1+4\cdot 0=2\\\\cos\varphi =\frac{2}{\sqrt{17}\cdot \sqrt5}=\frac{2}{\sqrt{85}}\; \; \to \; \; \; \varphi =arccos\frac{2}{\sqrt{85}}

2)\; \; \overline {A_1A_2}\times \overline {A_1A_3}=\left|\begin{array}{ccc}i&j&k\\-1&0&4\\-2&1&0\end{array}\right|=-4\vec{i}-8\vec{j}-\vec{k}\\\\\\|\overline {A_1A_2}\times \overline {A_1A_3}|=\sqrt{4^2+8^2+1^2}=\sqrt{81}=9\\\\S_{\Delta }=\frac{1}{2}\cdot 9=4,5

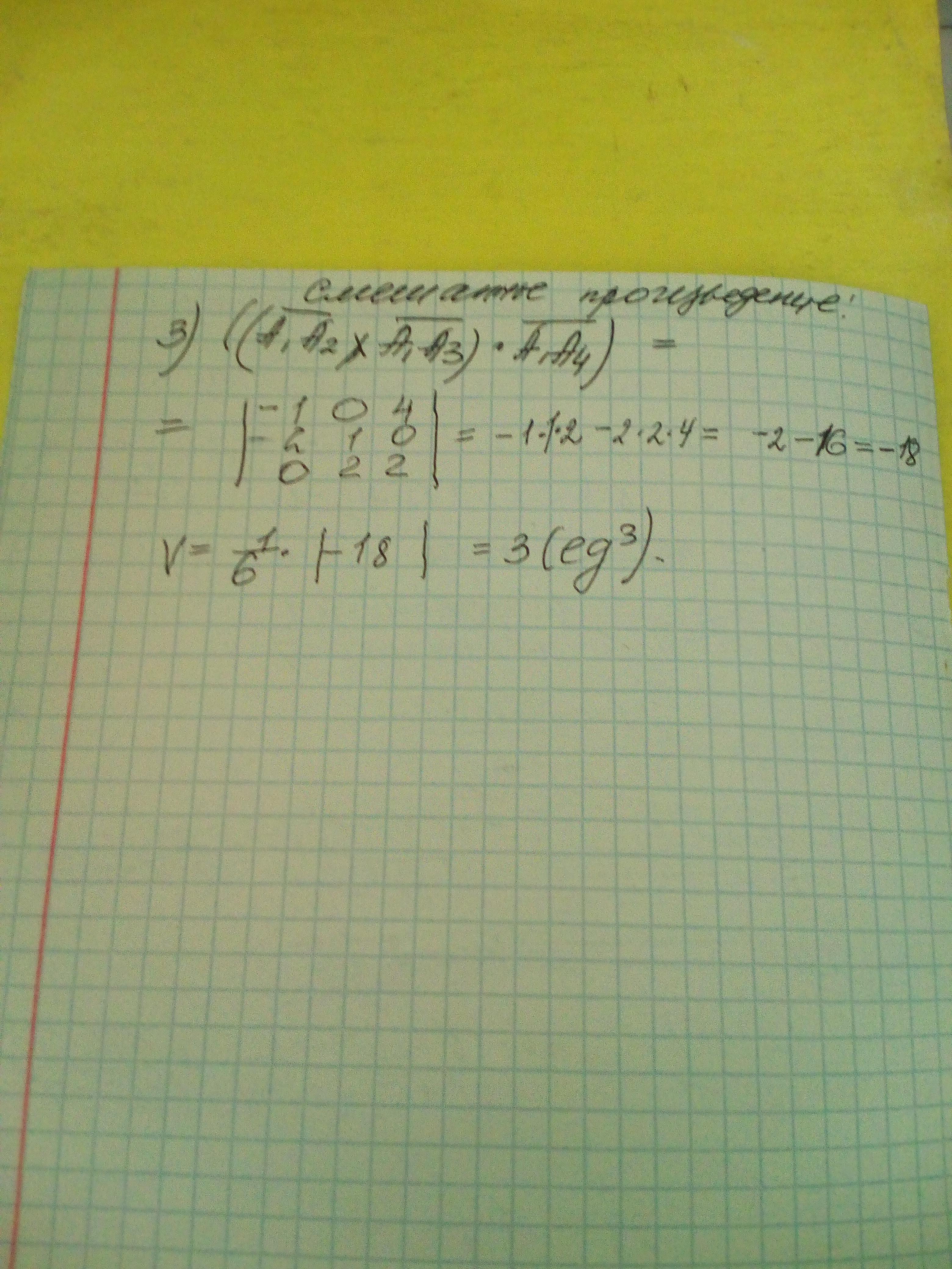
3)\; \; \overline {A_1A_4}=(0,2,2)\\\\(\overline {A_1A_2},\overline {A_1A_3},\overline {A_1A_4})=\left|\begin{array}{ccc}-1&0&4\\-2&1&0\\0&2&2\end{array}\right|=-1\cdot 2+4\cdot (-4)=-18\\\\\\V=\frac{1}{6}\cdot |-18|=\frac{1}{6}\cdot 18=3

Ответ дал: Аноним
1

Ответ: во вложении Пошаговое объяснение:

Приложения:
Вас заинтересует