• Предмет: Математика
  • Автор: nastyaaaa123469
  • Вопрос задан 2 года назад

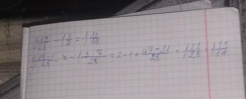
3 19/28-1 3/4 срочно, пожалуйста

Ответы

Ответ дал: GridcinaM
3

1 целая 13/14 полное решение на фото

Приложения:
Вас заинтересует