• Предмет: Алгебра
  • Автор: 0950416104
  • Вопрос задан 11 лет назад

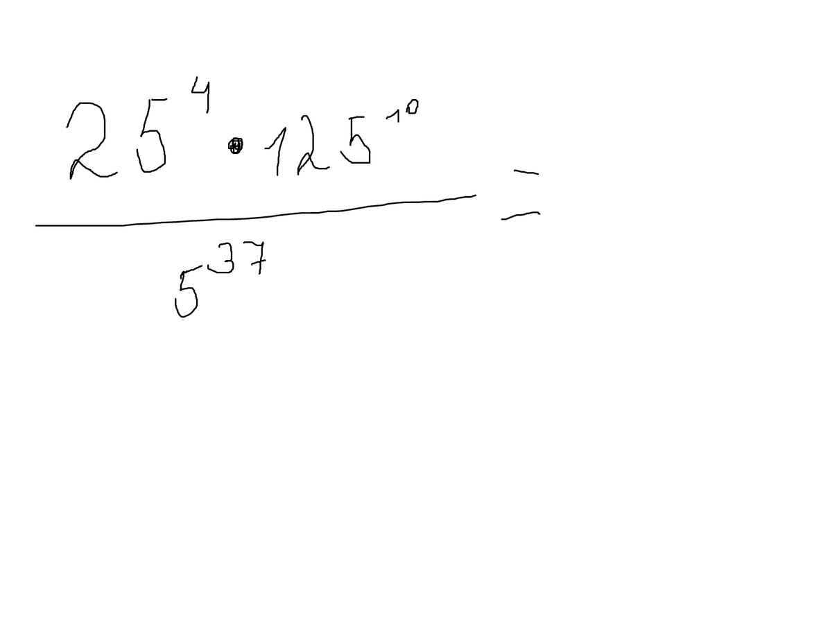
найдите значение выражения (если понадобится,воспользуйтесь таблицами степеней чисел 2 и 3, квадратов двузначных чисел,кубов однозначных чисел):

Приложения:

Ответы

Ответ дал: lidusya13
0
(5^)^4•(5^3)^10:(5^37)=5^8•5^30:5^37=5^38:5^37=5
Вас заинтересует