Дам 25 баллов!!!
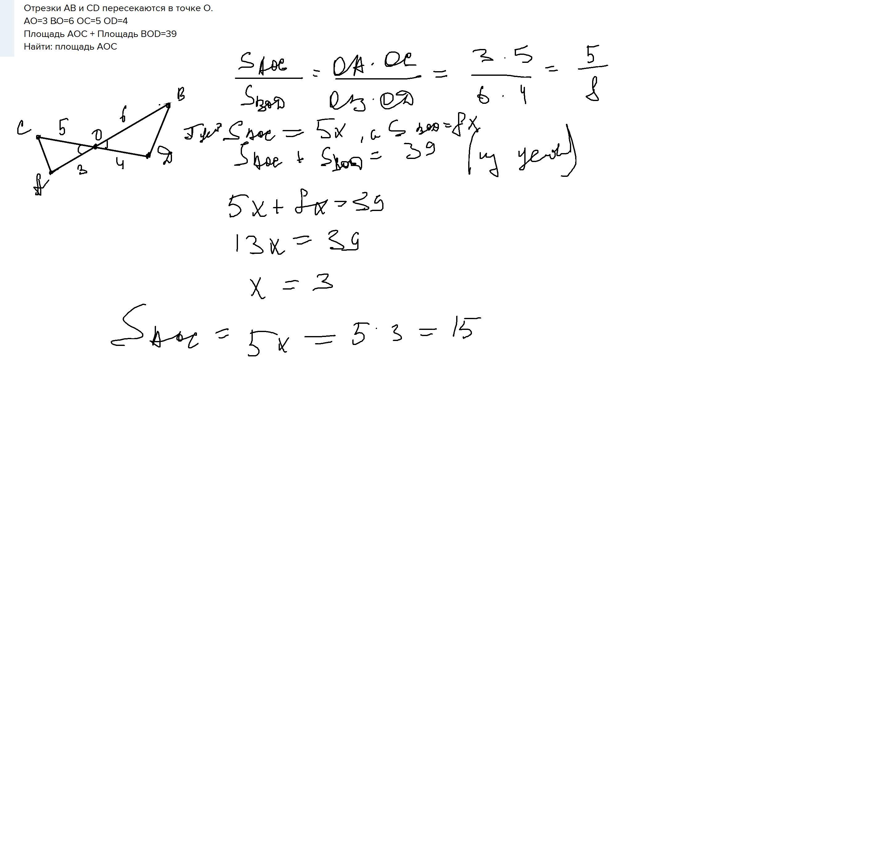
Отрезки AB и СD пересекаются в точке O.
AO=3 BO=6 OC=5 OD=4
Площадь AOC + Площадь BOD=39
Найти: площадь AOC
Желательно с чертежом
Ответы
Ответ дал:
3
Ответ:
Объяснение:Отрезки AB и СD пересекаются в точке O.
Приложения:
Вас заинтересует
2 года назад
2 года назад
2 года назад
3 года назад
3 года назад
9 лет назад
9 лет назад