• Предмет: Математика
  • Автор: nothrbeast
  • Вопрос задан 2 года назад

Помогите умоляю!!! Пожалуйста​

Приложения:

Ответы

Ответ дал: SunnyStorm
1

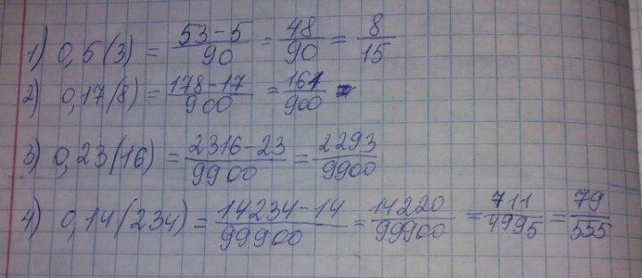
Для того, чтобы перевести смешанную периодическую дробь в обыкновенную, в первую очередь необходимо обратить внимание на целую часть. В Ваших примерах целая часть равна 0, поэтому после знака равно сразу же записываем дробную черту.

В числителе у нас число, состоящее из всех цифр после запятой (включая цифры после запятой до скобок и те, которые в скобках) - число, состоящее из цифр между запятой и периодом (т.е. скобками).

В знаменателе столько девяток, сколько цифр в скобках и столько нулей, сколько цифр между запятой и периодом (скобками).

Вычитаем в числителе.

Сокращаем числитель и знаменатель на сколько это возможно.

Получаем ответ.

Приложения:
Вас заинтересует