Ответы
Ответ дал:
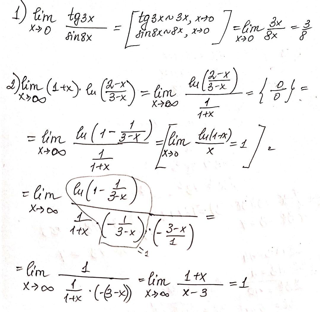
4
Ответ:............
Пошаговое объяснение:
Приложения:

Вас заинтересует
1 год назад
1 год назад
3 года назад
8 лет назад
8 лет назад