• Предмет: Алгебра
  • Автор: znatoksuper
  • Вопрос задан 2 года назад

Помогите сделать 3 примера, пожалуйста (алгебра) - связано с таблицей квадратов натуральных чисел

Приложения:

Ответы

Ответ дал: Lizzie2018
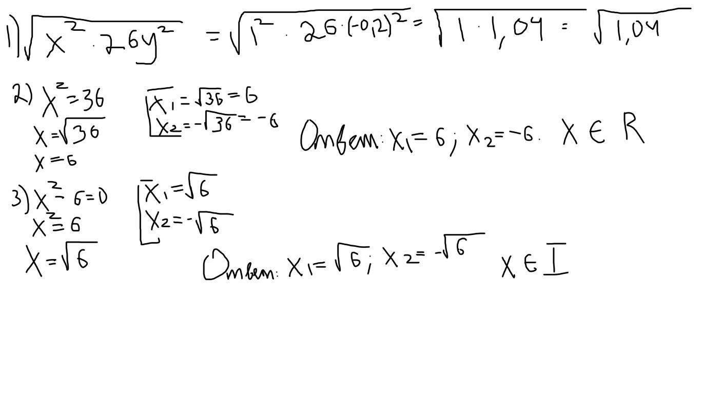
4

Как-то так...Если что, спрашивай.

Приложения:
Ответ дал: elizavetaoksanichenk
1

Ответ: 1) 0.2\sqrt{26}

2) 6

3) \sqrt{6}; -\sqrt{6}

Объяснение:

1) \sqrt{x^2*26*y^2}; x=1, y= -0.2

\sqrt{1}*\sqrt{(-0.2)^2*\sqrt{26}=0.2*\sqrt{26}

2) x^2=36

x=6

3) x^2-6=0

(x-\sqrt{6})*(x+\sqrt{6})=0

  • x=\sqrt{6}
  • x=-\sqrt{6}
Вас заинтересует