• Предмет: Математика
  • Автор: VilchanskY
  • Вопрос задан 2 года назад

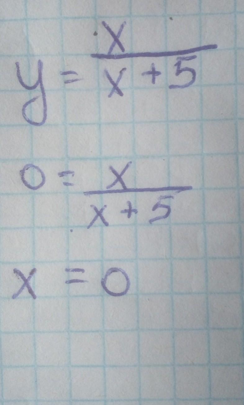
Помогите пж,15 минут осталось ...Найдите дифференциал функции:

Приложения:

Ответы

Ответ дал: ovdienkoelizaveta98
0

Пошаговое объяснение:

Ну вроде бы все

Приложения:
Вас заинтересует