• Предмет: Алгебра
  • Автор: barcelona960
  • Вопрос задан 2 года назад

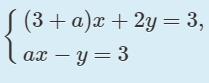
Найти a, при которых система не имеет решений,
варианты ответа
а=1
а=-1
а=3

Приложения:

Ответы

Ответ дал: nikebod313
1

При подстановке вариантов ответов выходит, что при a = -1 данная система уравнений не имеет решений. Почему?

При a = -1 выходит \left \{ {\bigg{2x + 2y = 3 \ \ \ \ \ \ \ \ \ \ \ } \atop \bigg{-x-y = 3 \ \ | \cdot (-2)}} \right. \ \ \ \ \ \ \ \ \ \ \left \{ {\bigg{2x + 2y = 3 \ \ } \atop \bigg{2x + 2y = -6}} \right., что 2x + 2y может одновременно равняться и 3 и -6, что невозможно.

Другое решение

Система \left \{ {\bigg{ax + by = n} \atop \bigg{cx + dy = m}} \right. не имеет решений, если \dfrac{a}{c} = \dfrac{b}{d} \neq \dfrac{n}{m}.

То есть в нашей системе выходит:

\dfrac{3+a}{a} = \dfrac{2}{-1} \neq \dfrac{3}{3} \\\\\dfrac{3+a}{a} = \dfrac{2}{-1}\\-3-a = 2a\\3a = -3\\a = -1

Ответ: a = -1

Вас заинтересует