• Предмет: Математика
  • Автор: omkommealexz
  • Вопрос задан 2 года назад

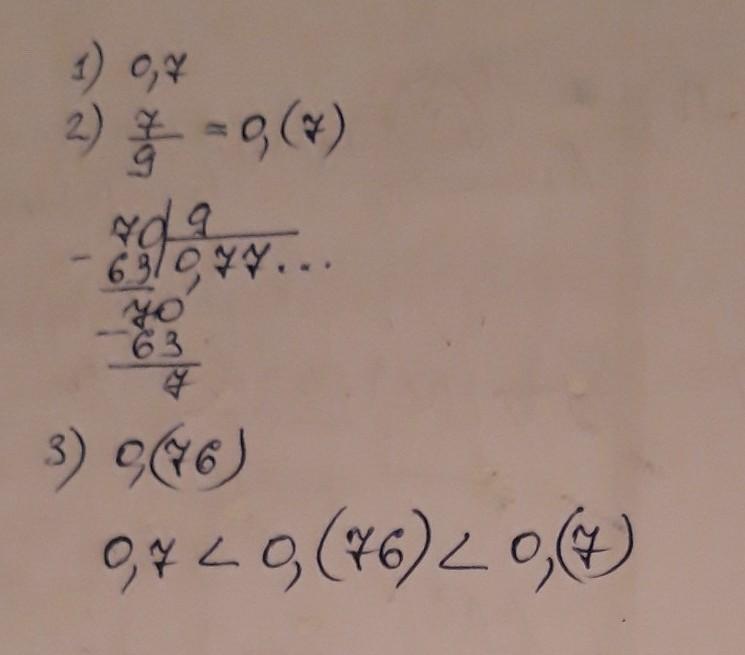
сравните дроби 0,7 , 7/9 , 0,(76)

Ответы

Ответ дал: NaStEnA4939
1

Ответ:0,7<7/9>0,76

Пошаговое объяснение:

Ответ дал: sharofat0
1

Ответ:

Сравнение десятичных дробей.

Приложения:
Вас заинтересует