Очень срочно.. Даю много баллов + благодарность
Нужно 8-ое задание
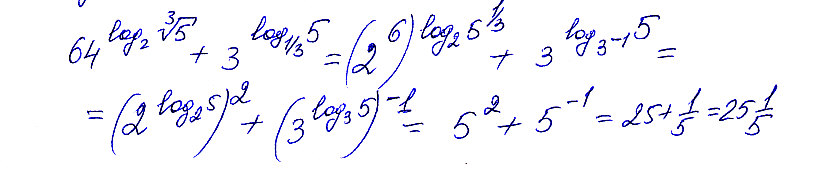
64log2 3
+ 3^log1/3 5
Если на фото не разборчиво
Приложения:
Ответы
Ответ дал:
0
Решение смотри ни же в приложении
Второй вариант первого слагаемого представлен во вторим приложении
Второй вариант первого слагаемого представлен во вторим приложении
Приложения:
Ответ дал:
0
Спасибо)
Вас заинтересует
3 года назад
3 года назад
8 лет назад
11 лет назад
11 лет назад
11 лет назад