• Предмет: Алгебра
  • Автор: Алена2223333
  • Вопрос задан 2 года назад

помоги разобраться, желательно подробно,даю МНОГО баллов

Приложения:

Ответы

Ответ дал: terikovramazan
0

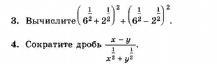
Ответ:3) 16;  4)√x-√y;

Объяснение:

3)

1) (6^1/2+2^1/2)²=(6^1/2)²+2×6^1/2×2^1/2+(2^1/2)²=6+2×(12)^1/2+2=8+2×(12)^1/2

2) (6^1/2-2^1/2)²=(6^1/2)²-2×6^1/2×2^1/2+(2^1/2)²=6-2×(12)^1/2+2=8-2×(12)^1/2

3) 8+2×(12)^1/2+(8-2×(12)^1/2)=8+2×(12)^1/2+8-2×(12)^1/2=16

4)  (x-y)/(x^1/2+y^1/2)=(x^1/2+y^1/2)×(x^1/2-y^1/2)/(x^1/2+y^1/2)=x^1/2-y^1/2=√x-√y;


Алена2223333: А как получилось под 4). В числителе (x^1/2+y^1/2)×(x^1/2-y^1/2)
terikovramazan: x-y разложил на множители как разность квадратов. х=(x^1/2)^2 и у=(у^1/2)^2
Вас заинтересует