• Предмет: Математика
  • Автор: mariakay2
  • Вопрос задан 2 года назад

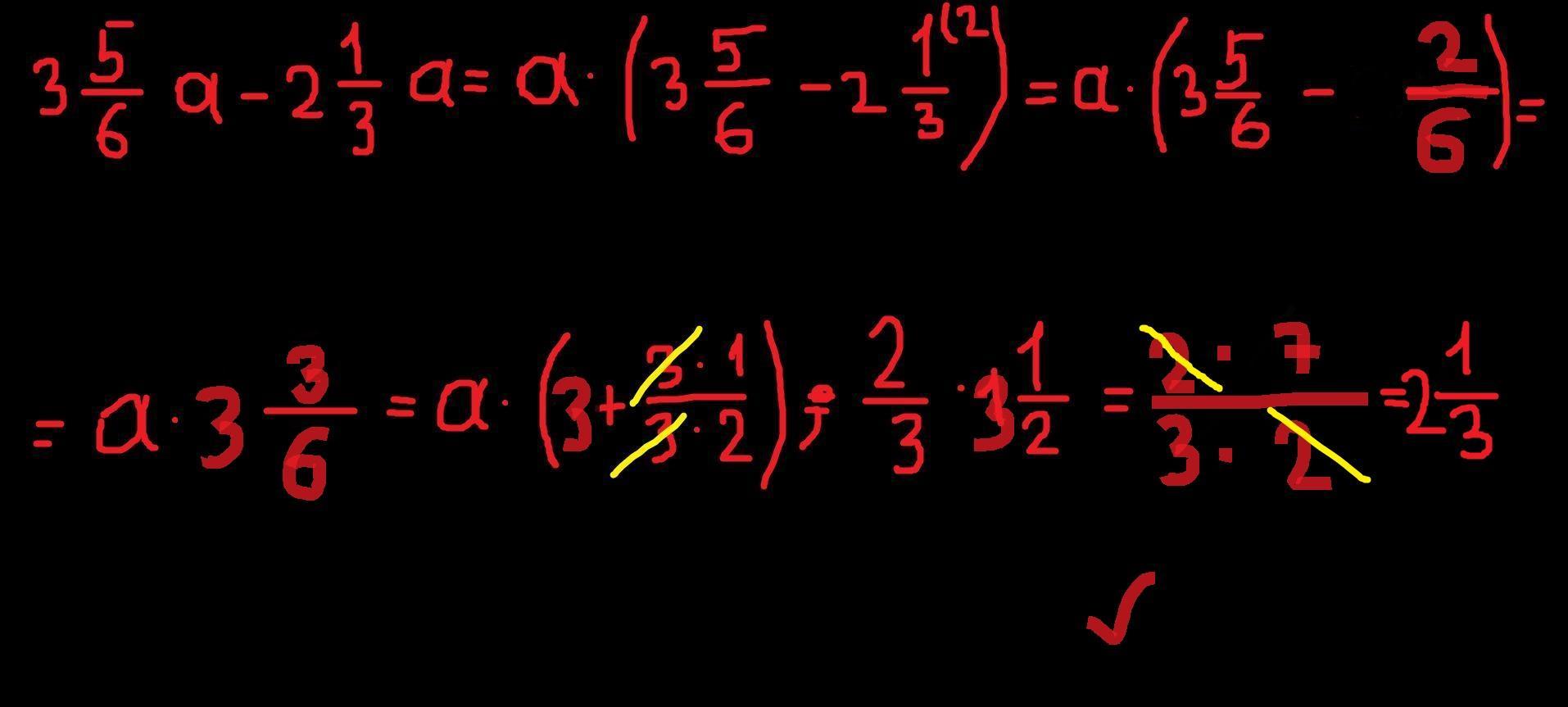
3 целых 5/6 а - 2 целых 1/3 а =
Если а = 2/3
Помогите пж

Ответы

Ответ дал: Аноним
3

Ответ: 2 1/3

Пошаговое объяснение: ↓↓ удачи!

Приложения:
Вас заинтересует