• Предмет: Алгебра
  • Автор: Yaglova2004
  • Вопрос задан 2 года назад

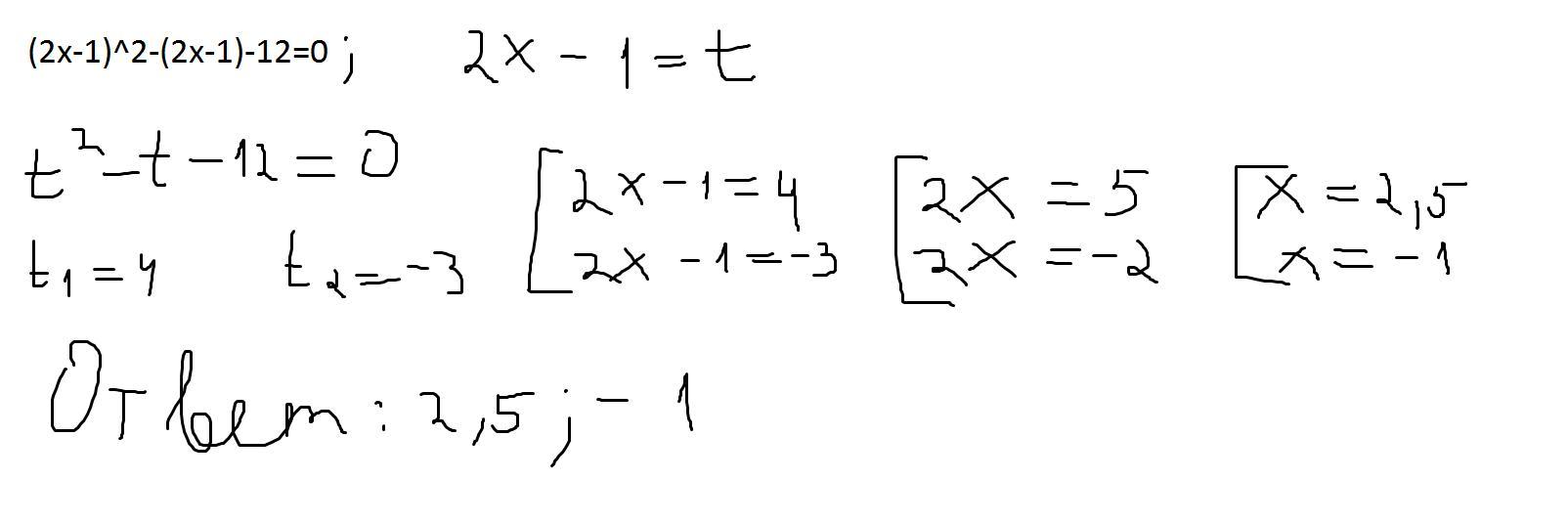
решить уравнение(2х-1)^2-(2х-1)-12=0, используя введение новой переменной​

Ответы

Ответ дал: matematikL
1

Ответ:

Объяснение:

вот и все

Приложения:
Ответ дал: Katie004
6

(2x-1)²-(2x-1)-12=0;

Замена: 2x-1=a, тогда (2x-1)²=a²

Получаем обычное квадратное уравнение:

a²-a-12=0;

a1=4

a2=-3

А это значит, что 2х-1=4 => 2х=4 => х=2,5

2х-1=-3 => 2х=-2 => х=-1

Ответ: 2,5;-1

Вас заинтересует