Ответы
Ответ дал:
1
Ответ:
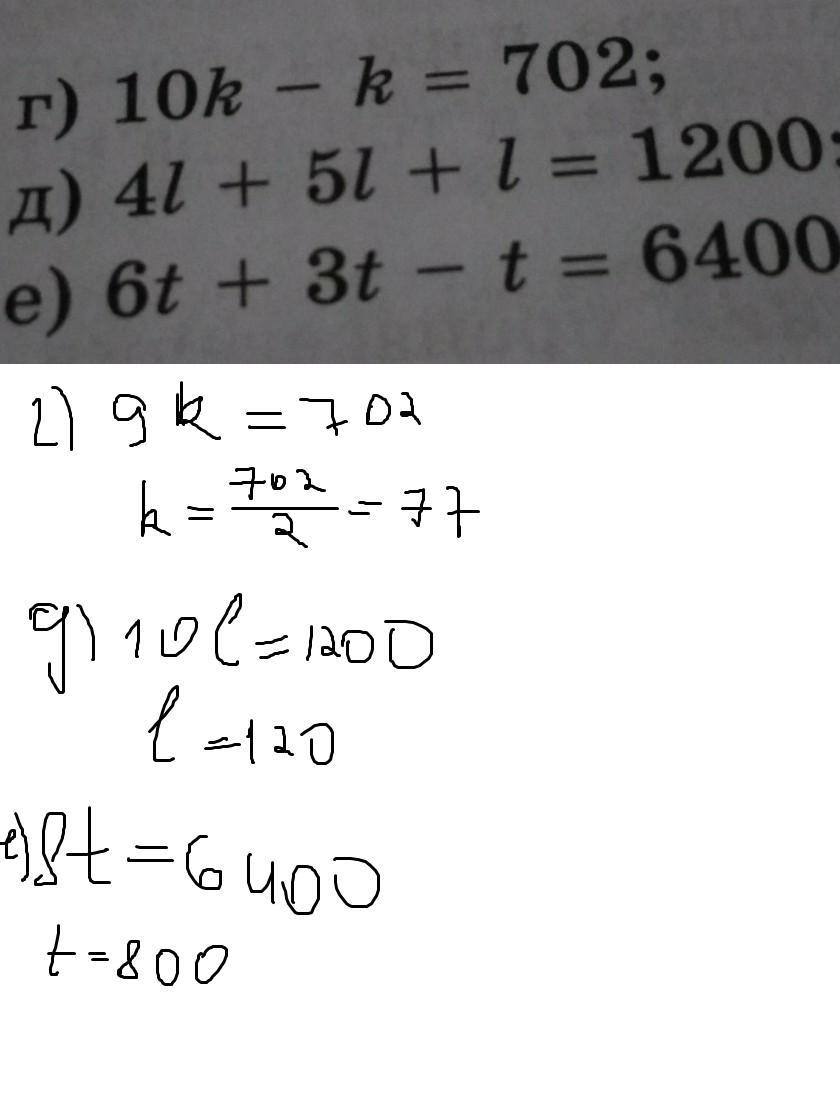
Г) 10k-k=702
9k=702
k=702:9
k=78
Ответ дал:
2
Ответ:
Пошаговое объяснение:
ВОТ И ВСЕ
Приложения:

Вас заинтересует
1 год назад
1 год назад
1 год назад
3 года назад
8 лет назад