Ответы
                                            Ответ дал: 
                                                                                    
                                        
                                            
                                                
                                                
                                                
                                                    0
                                                
                                            
                                        
                                    Объяснение:
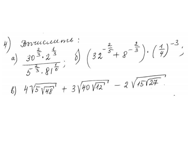
- формула aв степени m/n = n√a в степени m
 - упростить выражение путём умножения показателей степени
 - ну там если степени одинакавые 3²+5²=(3+5)²=8² как здесь, привести подобные
 - опять использовать формулу .1.
 - сократить дробь
 - и сократить дробь
 
Приложения:
                    
                            
                            Вас заинтересует
                
                        1 год назад
                    
                
                        1 год назад
                    
                
                        1 год назад
                    
                
                        3 года назад
                    
                
                        8 лет назад