• Предмет: Алгебра
  • Автор: nikokot1981
  • Вопрос задан 2 года назад

Приведите подобные слагаемых
А) 2ax•½x²-4a²-5ax³+3a
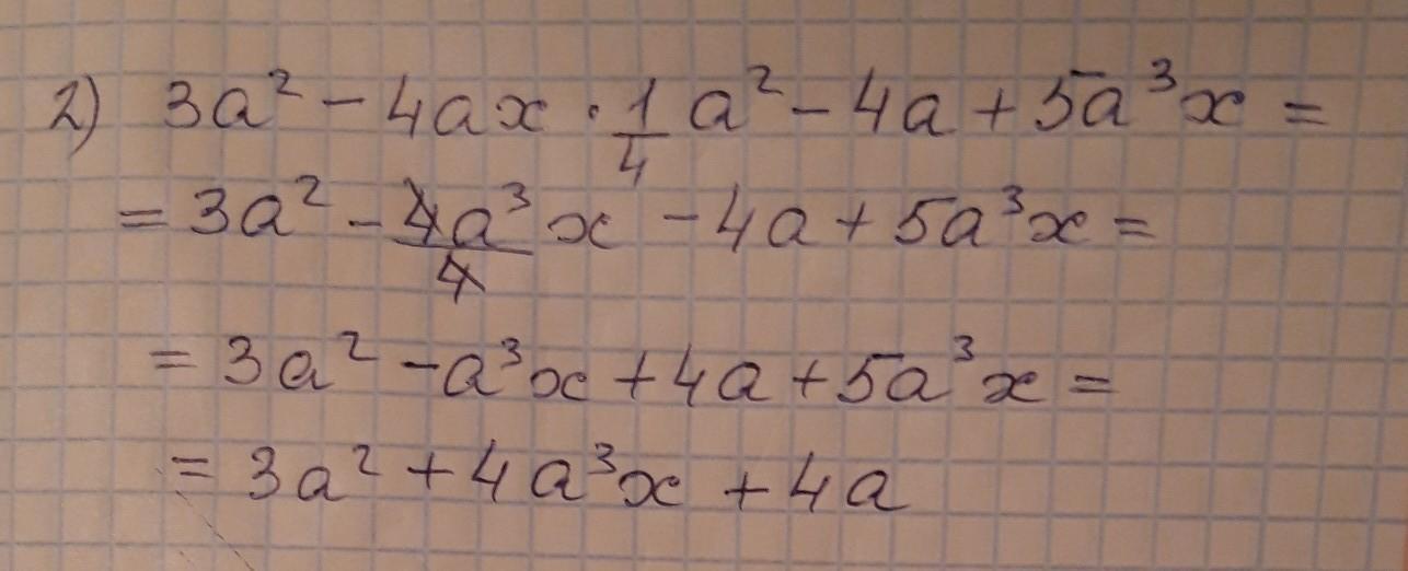
Б) 3a²-4ax•¼a²-4a+5a³x

Ответы

Ответ дал: sharofat0
0

Ответ:

Приведение подобных слагаемых.

Приложения:
Вас заинтересует