• Предмет: Алгебра
  • Автор: Pavlovuh
  • Вопрос задан 2 года назад

Знайти добуток
-3х (в квадраті) і х(вквадраті)+х+4

Приложения:

Ответы

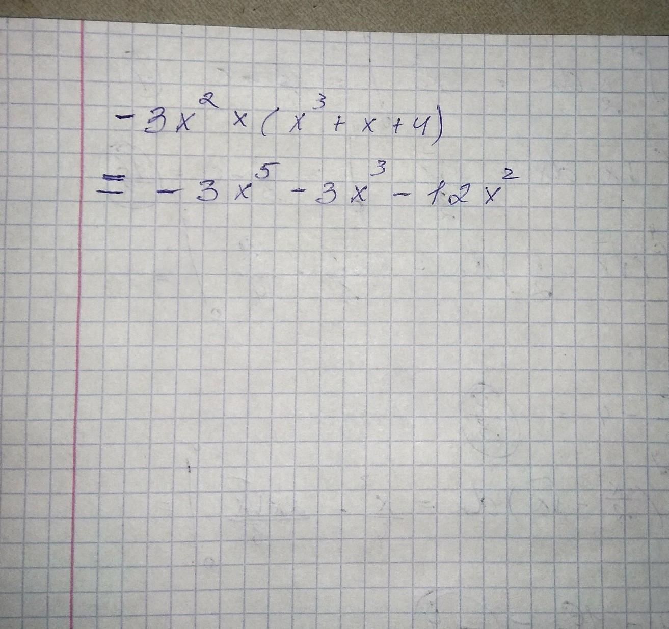
Ответ дал: Irremediable
1

На фото

 \:

Приложения:
Вас заинтересует