• Предмет: Физика
  • Автор: MNjjj
  • Вопрос задан 2 года назад

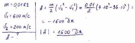
Пуля массой 10 г пробила доску. При этом скорость пули уменьшилась с 600 м / с до 200 м / с. Какую работу выполнила при этом сила сопротивления доски?

Куля масою 10 г пробила дошку. При цьому швидкість кулі зменшилася з 600 м/с до 200 м/с. Яку роботу виконала при цьому сила опору дошки?

Ответы

Ответ дал: Rouse5371
76

Как то так, учи физику пригодится
Приложения:
Вас заинтересует