• Предмет: Алгебра
  • Автор: kostya2286562
  • Вопрос задан 2 года назад

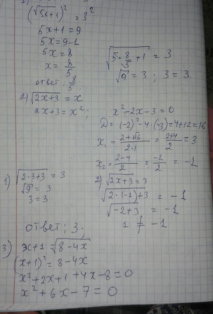
Помогите решить иррациональные уравнения (во вложении), пожалуйста ​

Приложения:

Ответы

Ответ дал: Seyitmyradova78
2

уравнение решено ... . ............

Приложения:

kostya2286562: спасибо, от души, очень выручила:*
Вас заинтересует