• Предмет: Алгебра
  • Автор: evievalds
  • Вопрос задан 2 года назад

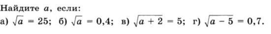
Найдите a , если : 8класс 15 баллов

Приложения:

Ответы

Ответ дал: Tanda80
1

Испльзуем определение арифметического корня квадратного: арифметическим квадратным корнем из числа а называется неотрицательное число b, квадрат которого равен а, т.е.

\sqrt{a}=b: b\geq  0, b^2=a

\sqrt{a}=25\\ a=25^2\\a=625

\sqrt{a}=0,4\\ a=(0,4)^2\\a=0,16

\sqrt{a+2}=5\\ a+2=5^2\\a=25-2\\a=23

\sqrt{a-5}=0,7\\ a-5=(0,7)^2\\a=0.49+5\\a=5,49

Вас заинтересует