• Предмет: Алгебра
  • Автор: alishay06
  • Вопрос задан 2 года назад

все сто баллов отдам помогите только быстро​

Приложения:

Ответы

Ответ дал: Аноним
5

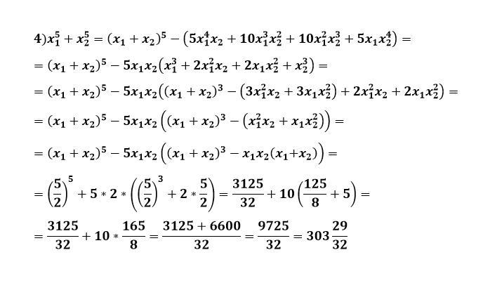
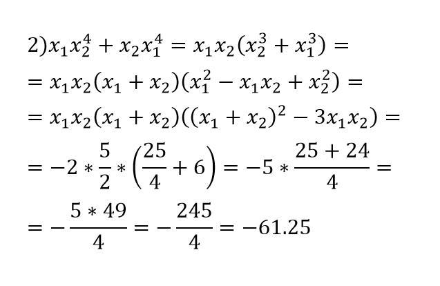
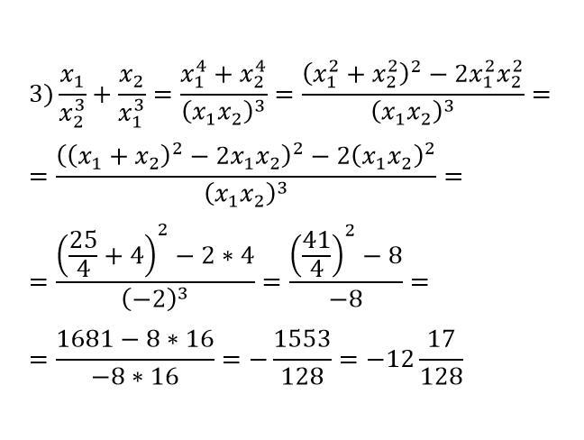
Ответ:

Объяснение:

-------------------------------------------------

Приложения:
Вас заинтересует