• Предмет: Алгебра
  • Автор: deargele4ka
  • Вопрос задан 2 года назад

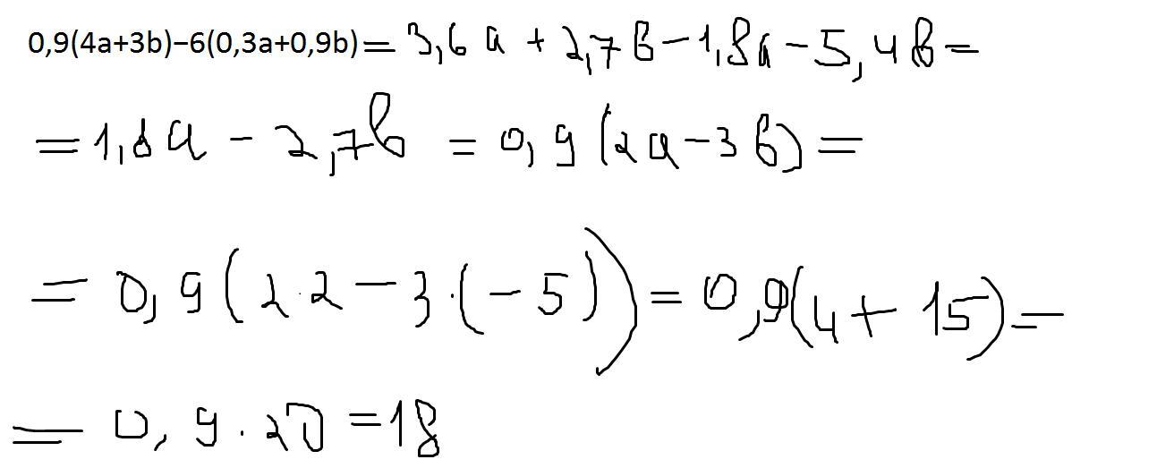
Найди значение алгебраического выражения 0,9(4a+3b)−6(0,3a+0,9b)
при a=2,b=−5.

Ответы

Ответ дал: bertain
2

При а = 2, b = -5

0,9(4a+3b)–6(0,3a+0,9b) = 0,9(4*2+3*(-5))–6(0,3*2+0,9*(-5)) = 0,9*(8-15)–6*(0,6-4,5) = -6,3+23,4 = 17,1

Ответ дал: matematikL
0

Ответ:

Объяснение:

вот и все

Приложения:
Вас заинтересует