• Предмет: Математика
  • Автор: artemiei
  • Вопрос задан 2 года назад

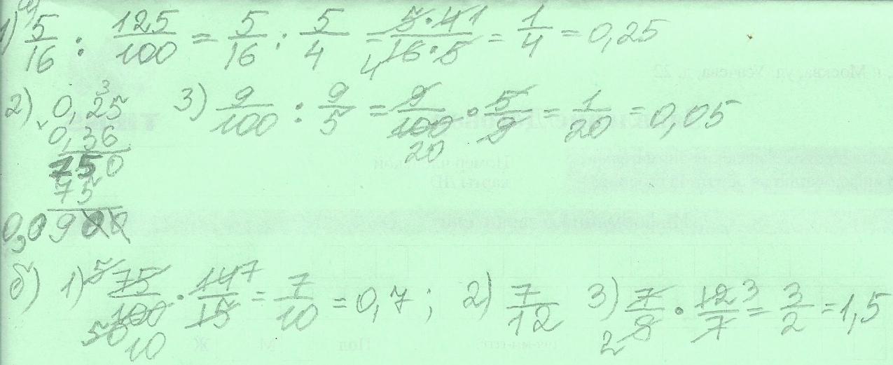
Найдите значение выражения 1)5/16:1,25•0,36:1 4/5
2)7/8:(0,75•14/15:1,2)

Ответы

Ответ дал: lakOR555
1

СМ ФОТО................................

Приложения:
Вас заинтересует