• Предмет: Алгебра
  • Автор: FanerC
  • Вопрос задан 2 года назад

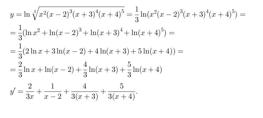
Помогите найти производную. Спасибо!

Приложения:

Ответы

Ответ дал: genius20
1

...............................................................

Приложения:
Вас заинтересует