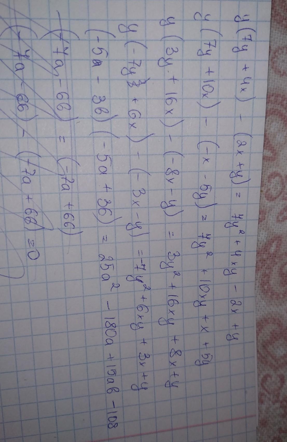
264. Упростите выражение у(7y + 4х) - (2x+y).
265. Упростите выражение у(7y + 10х) - (-х – 5у).
266. Упростите выражение у(3y + 16x) -(-8х - у).
267. Упростите выражение у(-7y + 6x) - (-3х - у).
268. Преобразуйте в многочлен выражение
(-5а - 3b)(-5а + 36).
269. Преобразуйте в многочлен выражение
(-7а - 6b)=(-7а + 66).
Ответы
Ответ дал:
1
Пошаговое объяснение:
последнее не получилось
Приложения:

romandemidov2004:
Благодарю)
Ответ дал:
0
............. Вроде как-то так
Приложения:

Вас заинтересует
1 год назад
1 год назад
1 год назад
3 года назад
8 лет назад