Ответы
Ответ дал:
1
Ответ:
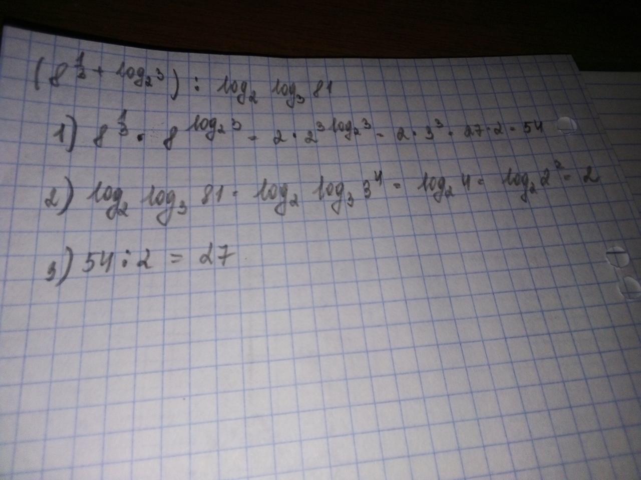
27
Объяснение:
Действие в скобках - основное логарифмическое тождество. И при умножении показателей с одинаковыми основаниями, показатели складываются. 8=2^3 и он переходит в степень к тройке.
Во втором действии простое возведение в степень.
Последнее деление ответов.
Приложения:

Ответ дал:
0
Ответ: во вложении Объяснение:
Приложения:

Вас заинтересует
1 год назад
1 год назад
3 года назад
3 года назад
8 лет назад
8 лет назад