• Предмет: Алгебра
  • Автор: olenik27042005
  • Вопрос задан 2 года назад

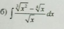
Прошу решить этот интеграл

Приложения:

Nullpo201: Интеграл ушел
Аноним: а я пришел)))))))

Ответы

Ответ дал: Аноним
1

Ответ: во вложении Объяснение:

Приложения:
Ответ дал: natalyabryukhova
2

Ответ:

==============================

Объяснение:

Приложения:
Вас заинтересует