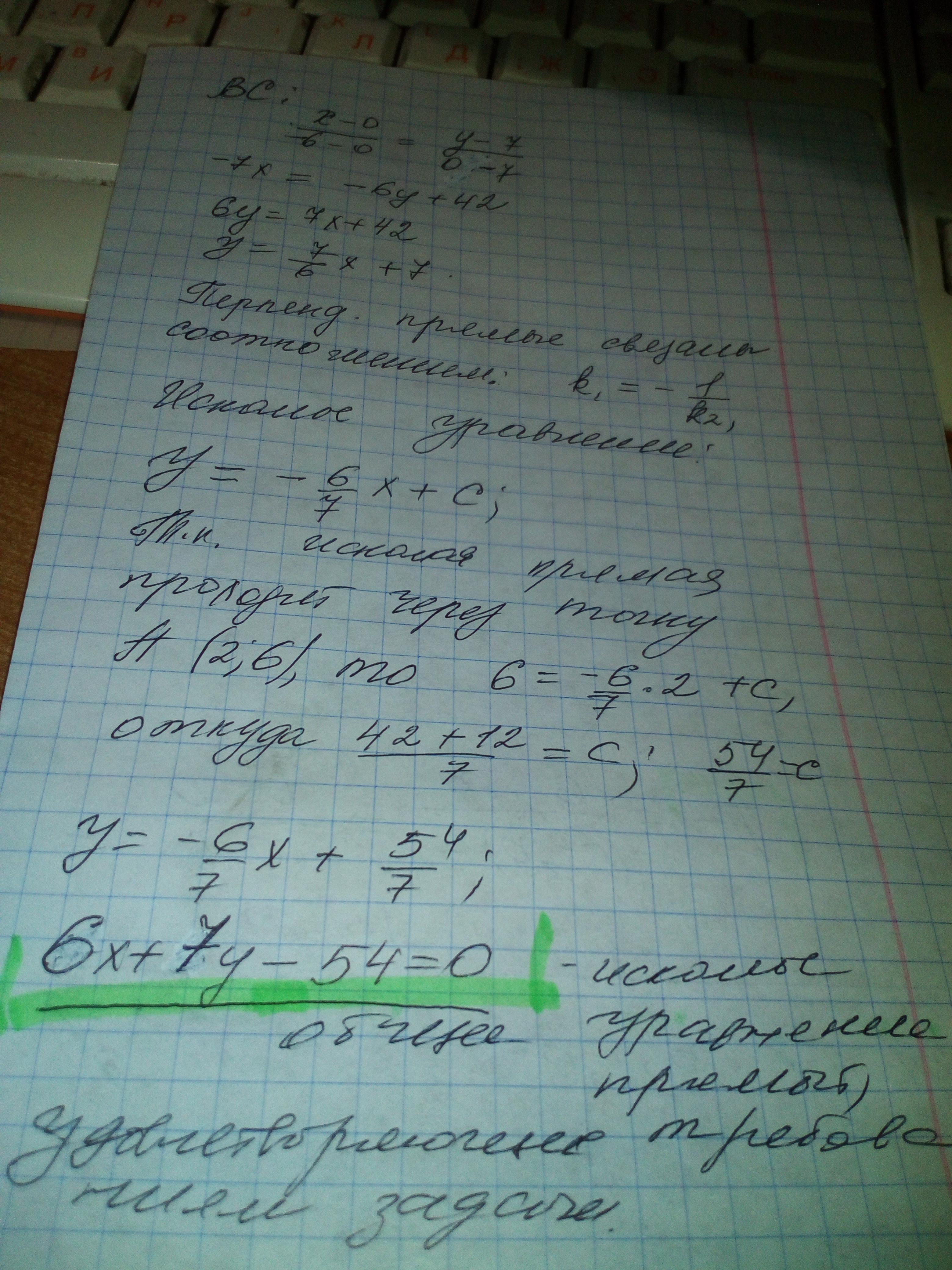
Составьте общее уравнение прямой, содержащей точку А и перпендикулярной к прямой, проходящей через точки В и С
Приложения:

Ответы
Ответ дал:
1
Уравнение прямой, проходящей через точки В и С.
Вектор ВС: (-6; -7).
ВС: x/(-6) = (y - 7)/(-7).
Общее: -7х = -6у - 42 или 7х - 6у - 42 = 0.
Для перпендикулярной прямой А1А2 + В1В2 = 0.
Поэтому уравнение будет иметь вид: 6х + 7у + С = 0.
Для определения параметра С подставим координаты точки А:
6*2 + 7*6 + С = 0,
С = -12 - 42 = -54.
Ответ: 6х + 7у - 54 = 0.
Ответ дал:
0
Ответ: во вложении Объяснение:
Приложения:

Вас заинтересует
1 год назад
1 год назад
1 год назад
3 года назад
3 года назад