• Предмет: Математика
  • Автор: asanovagulnaz24
  • Вопрос задан 2 года назад

дайте ответ найдите значение выражений​

Приложения:

Ответы

Ответ дал: dyumm
1
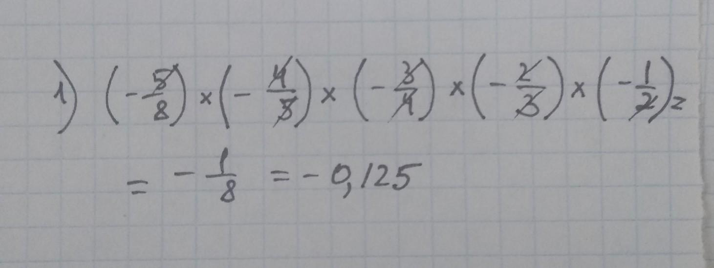
Ответ на номер 1: -1/8 = -0.125
Приложения:

asanovagulnaz24: спасиба толька надо2
Ответ дал: ewarastowa1997
0

Вот) Это очент легко, дроби ведь сокращаются

Приложения:
Вас заинтересует