• Предмет: Математика
  • Автор: wws25
  • Вопрос задан 2 года назад

помогите пожалуйста с уравнением
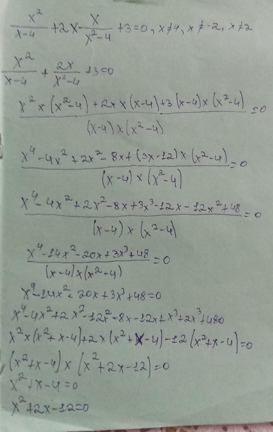
 \frac{x {}^{2} }{x - 4}  + 2 \times  \frac{x}{x {}^{2} - 4 }  + 3 = 0 \\  \\

Ответы

Ответ дал: abylajgerim962
0

Ответ:

x =  - 1 -  \sqrt{13}

Приложения:

wws25: спасибо
Вас заинтересует