• Предмет: Алгебра
  • Автор: prostochok56
  • Вопрос задан 2 года назад

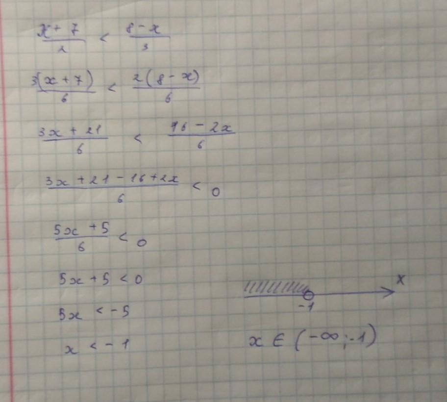
ОЧЕНЬ НУЖНО x+7/2 <8-x/3 там 50 баллов!!!!!!!!!!!!!!!!!

Ответы

Ответ дал: HayLow
0

Решение на фото......

Приложения:
Вас заинтересует