• Предмет: Алгебра
  • Автор: Аноним
  • Вопрос задан 2 года назад

Помогите пожалуйста
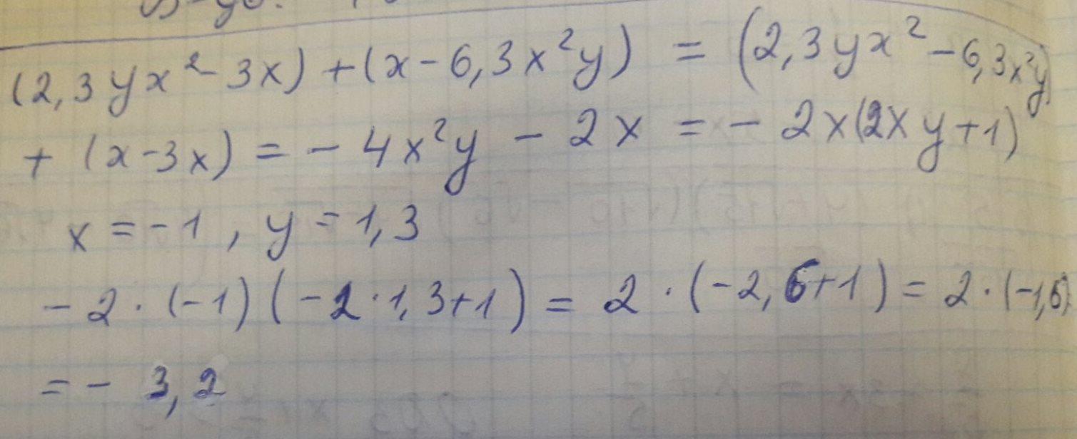
Найдите значение выражения (2,3yx²-3x)+(x-6,3x²y)
При x=-1 и y=1,3.

Ответы

Ответ дал: PVJ
2

Відповідь:

-3.2

Пояснення:

Приложения:

Аноним: у меня тут даны варианты ответов. а) - 3,2 б) 3,2 в) 7,2 г) - 7,2
PVJ: Переробила
Вас заинтересует