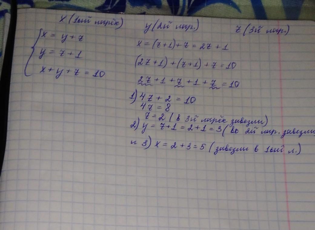
В три ларька завезли разное количество мороженого. Причём в первый завезли столько, сколько во второй и третий вместе, а во второй завезли на одну больше, чем в третий. Сколько коробок мороженого завезли в каждый ларёк, если всего было завезено 10 коробок?
Первый ларёк
а)
5 коробок
Третий ларёк
б)
3 коробки
Второй ларёк
в)
2 коробки
Ответы
Ответ дал:
0
Ответ:
в 1ый завезли 5 коробок
во 2й Лар. 3, ну а в первый 2
Приложения:

Ответ дал:
0
Ответ:1 ларек-5 коробок,2 ларек-3 коробки,3 ларёк-2 коробки
Пошаговое объяснение: обозначим за хк. -3 ларёк,тогда 2 ларёк-х+1, 1ларёк-х+(х+1).Составляем уравнение х+(х+1)+(х+(х+1) = 10
+4х=10-2, х=2
Вас заинтересует
1 год назад
1 год назад
3 года назад
3 года назад
8 лет назад
8 лет назад