• Предмет: Алгебра
  • Автор: id184272144
  • Вопрос задан 2 года назад

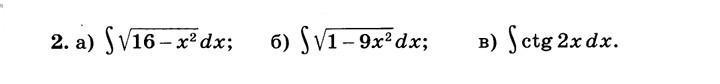
Найдите неопределенный интеграл. Задание на картинке.

Приложения:

Ответы

Ответ дал: Miroslava227
1

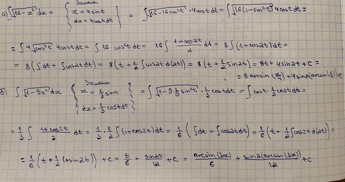
Ответ:

решение на фотографиях

Приложения:
Вас заинтересует