Ответы
Ответ дал:
0
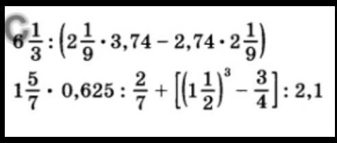
Это первый пример.............
Приложения:

rozhdestvenskaya76:
спасибо
Вас заинтересует
1 год назад
1 год назад
3 года назад
3 года назад
8 лет назад