• Предмет: Математика
  • Автор: mirjanaknezi100
  • Вопрос задан 2 года назад

Как решить, помогите пожалуйста

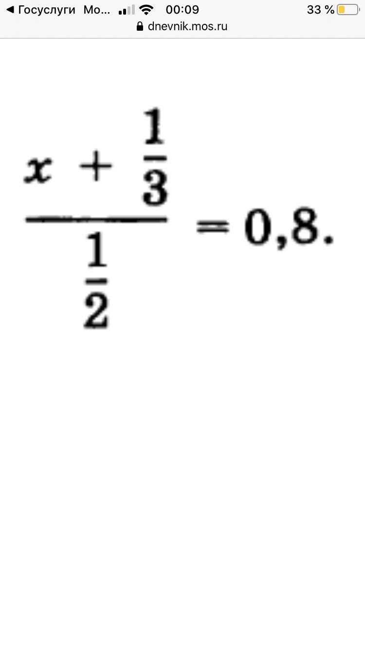
Приложения:

Ответы

Ответ дал: sentyurin2015
0

Ответ:x=1/15

Пошаговое объяснение: (x+1/3):1/2=0,8 умножаем все на 1/2 ( пишется уравнение, а справа от него большая вот такая палка | *1/2), получаем x+1/3=0,4 , умножаем все на 3, 3x+1=1,2 умножаем все на 10, 30х+10=12, переносим 10 направо, получаем 30х=2, делим все на 30, получаем х=1/15

Вас заинтересует