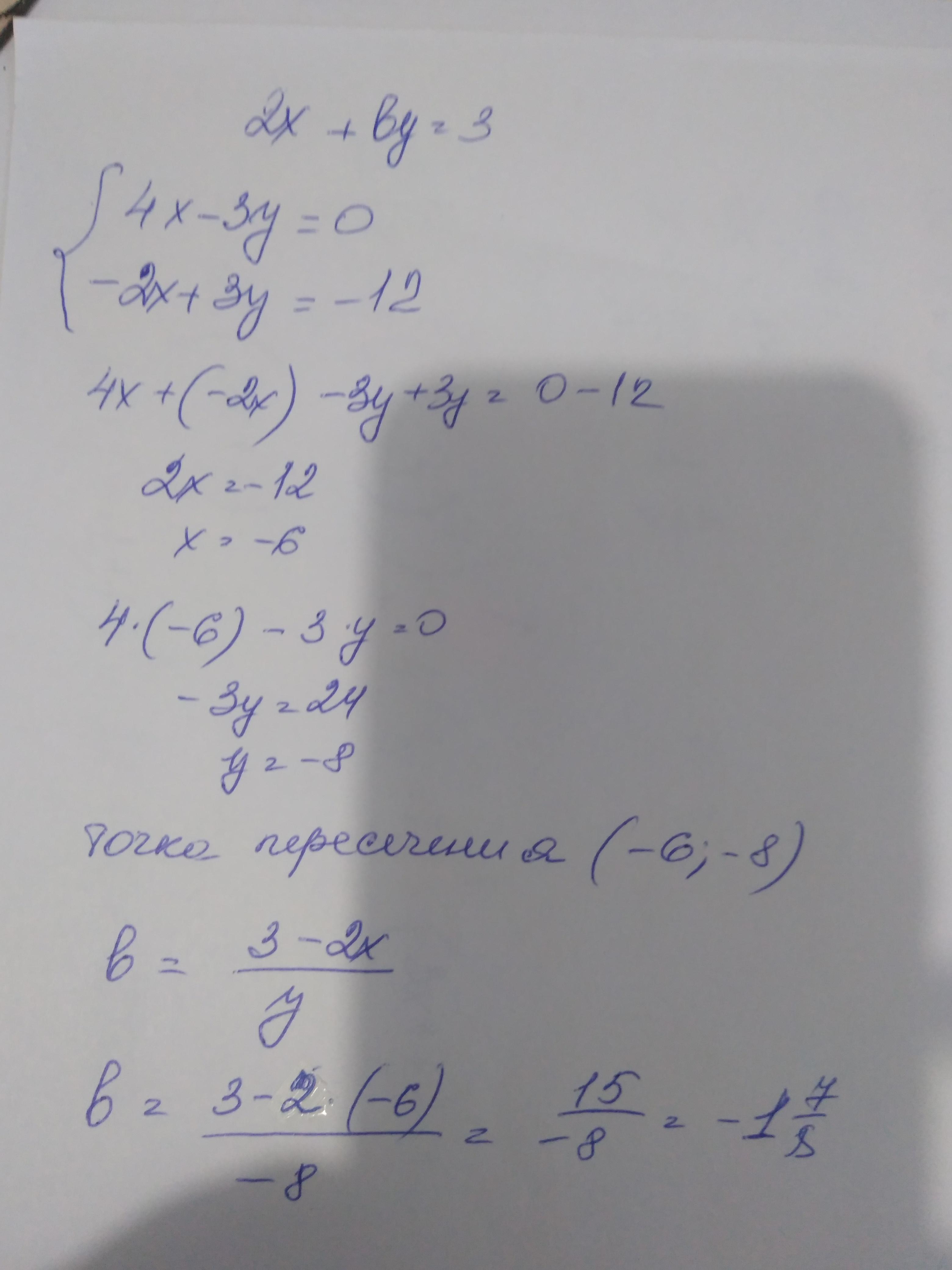
Прямая 2х+by = 3 проходит через точку пересечения прямых 4х-3у = 0 и -2х+3у = -12. Найдите b. Умоляю вас помогите!!!И с координатным графиком плз.
Ответы
Ответ дал:
3
Смотри......,...........
Приложения:

Вас заинтересует
1 год назад
1 год назад
1 год назад
1 год назад
8 лет назад